网站首页  百科知识

请输入您要查询的百科知识:

 

词条 寻找效应
类别 中文百科知识
释义

寻找效应searching efficiency

在捕食或寄生过程中天敌对害虫攻击的一种行为效应。天敌作用的大小与其本身的寻找力有关。寻找效应的高低又与害虫种群密度、天敌种群密度和气象因素有着密切的关系。
与害虫密度的关系 霍林(C.S.Holling,1959)假设捕食者的寻找效应不随猎物种群密度增加而加大,即捕食者的食欲是有上限的; 且在不同猎物密度下,捕食者寻找猎物所需时间是不同的。他提出一个寻找效应(E)的模型(图1):
E=a′/1+a′ThN式中 a′为捕食者的攻击率;Th为捕食者对猎物的处置时间; N为猎物种群密度。


图 1 寻找效应与寄主密度的关系时间
(仿 J. R. Beddington)


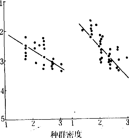
与天敌密度的关系 哈塞尔(M. P. Hassell,1969)注意到天敌种群密度的增加引起相互干扰,将影响天敌的寻找效应。他提出用lgE与lgPt的直线回归斜率 (m) 进行估计。用以反映捕食者的寻找效应系随捕食者种群密度的增加而下降(图2):


lgE=lgQ-mlgPt或E=QP-mt



图2 天敌种群密度与寻找效应的关系


(仿M.P.Hassell)


式中 m、Q分别为直线的斜率和截距;m为相互干扰参数,Q为寻找参数;Pt为时间t时,捕食者种群密度。
与寄主密度、天敌密度的关系 贝丁顿(J.R.Bed-dington,1975)提出以下模型(图3):



式中 b为天敌之间相遇率;Tw为每个相遇者消耗的时间;R=P-1(P为天敌密度)。
与气象因素的关系 气象因素对寻找效应的影响是明显的,尤以温度作用最显著。在适温范围内,寻找效应随温度的上升而增大。在越过适温范围时,寻找效应则随高温的上升或低温的下降而降低。丁岩钦等1983年研究在不同温度下,南方花蝽成虫对棉铃虫卵的捕食率,提出了在最低与最高临界温度间,天敌寻找效应的数学模型:



图3 寻找效应、寄主密度和天敌密度的关系
(仿J.R.Beddington)



式中 E’为天敌攻击率;T为温度;K、r、Tf、TL、TH、δi均为参数。K为天敌的极限攻击值;r为天敌内禀攻击率;Tf为天敌攻击的最适温度; TL为天敌攻击的最低临界温度;TH为天敌攻击的最高临界温度;δi为两临界温度与攻击系数迅速下降点的温度之间的变化幅度。
随便看

 

开放百科全书收录579518条英语、德语、日语等多语种百科知识,基本涵盖了大多数领域的百科知识,是一部内容自由、开放的电子版国际百科全书。

 

Copyright © 2000-2025 oenc.net All Rights Reserved
更新时间:2026/5/19 18:14:43