网站首页  百科知识

请输入您要查询的百科知识:

 

词条 丁烯
类别 中文百科知识
释义

丁烯dingxi

分子式C4H8,有3种构造异构体,均为无色易燃、易爆、易液化的气体,不溶于水,溶于乙醇、乙醚及硫酸中。
1-丁 烯 ( 正丁烯) 的 构造简式:CH3CH2CH=CH2,熔点为-185.3℃,沸点为-6.3℃,相对密度为0.595 1,临界压力为4.02MPa,临界温度为146.4℃。


(顺),-105.5℃ (反); 沸点为3,7℃ (顺),0.9℃(反); 相对密度为0.6213 (顺),0.6042 (反); 临界压力为4.20MPa (顺),4.10MPa(反); 临界温度为162.4℃(顺),155.46℃(反)。
1-丁烯和2-丁烯在许多场合下不必分离,一起进行化学加工,生产许多重要的基本化工产品,如经催化去氢或氧化去氢制取1,3-丁二烯:


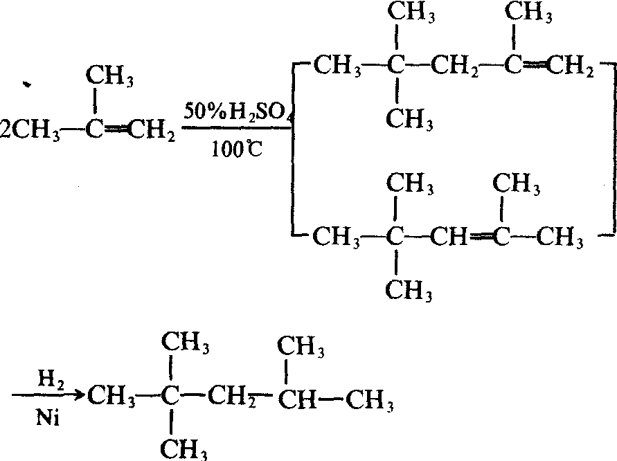
-140.3℃,沸点为-6.90℃,相对密度为0.594 2,临界温度为144.75℃,临界压力为4.00MPa。为石油化工主要的基础原料之一。其二聚体经催化氢化可以得到测定汽油辛烷值的标准物异辛烷:


2,2,4-三甲基戊烷(异辛烷)


正视图 俯视图


1,3-丁二烯分子中σ键和π键示意图

120°。每个碳原子未参与杂化的p轨道互相平行,垂直于分子所在平面。4个p轨道间均发生侧面重叠,形成一个大π键 (或称共轭π键;见上图)。
丁二烯为无色易燃、易爆、易液化的气体; 熔点为-108.9℃,沸点为-4.4℃,相对密度为0.621 1;不溶于水,易溶于有机溶剂; 临界压力为在低温,三氟化硼为催化剂的条件下,异丁烯多聚为高聚异丁烯:


高聚异丁烯可以作为聚异丁烯橡胶。异丁烯与异戊二烯共聚合成丁基橡胶,有较好的气密性,主要做内胎。
这几种丁烯都可以由石油裂解制取乙烯副产的C4馏分中提取。异丁烯还可以由异丁烷脱氢制得。
随便看

 

开放百科全书收录579518条英语、德语、日语等多语种百科知识,基本涵盖了大多数领域的百科知识,是一部内容自由、开放的电子版国际百科全书。

 

Copyright © 2000-2025 oenc.net All Rights Reserved
更新时间:2026/5/19 13:36:54