网站首页  百科知识

请输入您要查询的百科知识:

 

词条 定虫隆
类别 中文百科知识
释义

定虫隆chlorfluazuron

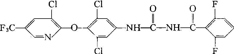
强胃毒兼触杀作用的苯甲酰脲类几丁质合成抑制剂。商品名抑太保。化学结构式:

日本石原产业公司1979年获得合成专利权,其商品1988年在日本登记。
性能 纯品为白色结晶固体,熔点222~223.3℃。20℃ 时蒸气压小于10-8帕。密度1.4977。25℃时溶解度: 水0.016毫克/升,乙酸乙酯45.7克/升,丙酮52.1克/升,二甲苯3克/升,甲醇2.2克/升。对光稳定,不易分解。低毒,急性经口LD50对大鼠和小鼠大于8500毫克/千克,急性经皮LD50对大鼠为1000毫克/千克。对鲤鱼的TLm>300毫克/升。作用机制是抑制昆虫几丁质合成,施药后7~ 10天,幼虫不能正常蜕皮而死。防治鳞翅目害虫有特效。与其他杀虫剂无交互抗药性。对家蚕高毒。
应用 日本登记用于防治甘蓝、白菜的菜青虫、小菜蛾、甘蓝夜蛾、斜纹夜蛾、苹果树的卷叶蛾、茶小卷叶蛾、茶黄卷叶蛾。84~ 104克/公顷剂量能有效防治棉田的棉铃虫、大豆夜蛾、海灰翅夜蛾。此药能使白菜和茶的新生叶白化,形成白斑,应避免在弱苗及徒长苗上使用。因无内吸性,喷药应均匀周到。不要使药飘落到桑树上,以防家蚕中毒。

定虫隆chlorfluazuron

又称抑太保、IKI7899。一种低毒农药。化学名称:1-〔3,5-二氯-4-(3-氯-5-三氟甲基-2-吡啶氧基)苯基〕-3-(2,6-二氟苯甲酰基)脲。化学结构式如下。纯品为黄白色无味结晶,密度1.648(20℃),熔点222.0~223.3℃,20℃时蒸气压<99.99×10-10Pa。20℃时溶解度:水中为0.017 mg/L、甲醇中2.6 g/L、丙酮中55 g/L、二甲苯4.2 g/L。是昆虫几丁质合成抑制剂。使幼虫蜕皮、卵的孵化受阻、蛹的发育呈畸形。作用慢,一般药后5~7天才死亡。用以防治小菜蛾、菜青虫、斜纹夜蛾、柑橘潜叶蛾等害虫。大鼠急性口服LD50>8 500 mg/kg,经皮LD50>1 000 mg/kg。对鱼及蜜蜂无毒害。

随便看

 

开放百科全书收录579518条英语、德语、日语等多语种百科知识,基本涵盖了大多数领域的百科知识,是一部内容自由、开放的电子版国际百科全书。

 

Copyright © 2000-2025 oenc.net All Rights Reserved
更新时间:2026/5/18 17:01:20