网站首页  百科知识

请输入您要查询的百科知识:

 

词条 一元线性回归
类别 中文百科知识
释义

一元线性回归yiyuan xianxing huigui

一元线性回归是工程上和科研中常常遇到的配直线问题,即两个变量X和Y有一定的线性关系,通过试验,利用得到的数据找出两者之间的经验公式。


为了寻求变量X和Y之间的关系,我们对 (X,Y)作n次独立观察,获得n对观察值(xi ,yi)(i=1,2,…,n),再以它们为坐标,在坐标平面上描出n个观察点,如果这n个观察点分布在一条直线近旁(如图),则这条直线即可代表x与y之间的关系.下面利用最小二乘法来求此直线的方程。
设直线的方程为

=a +bX

则观察点 (xi,yi)与直线上对应于相同横坐标的点(xi, i) 之间的偏差为

表示n个观察点关于直线的总偏差,使总偏差Q最小的直线叫回归直线。
求回归直线的方程=a+bx,并归结为求a, b使Q达到最小值。
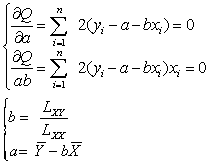
求Q关于a与b的偏导数,并令它等于零得

其中

所求的回归直线方程为

Y=a +bX。


注意,只有当两个变量之间确实存在线性统计关系时,求出的回归直线方程才有意义。
随便看

 

开放百科全书收录579518条英语、德语、日语等多语种百科知识,基本涵盖了大多数领域的百科知识,是一部内容自由、开放的电子版国际百科全书。

 

Copyright © 2000-2025 oenc.net All Rights Reserved
更新时间:2026/5/18 19:33:31