网站首页  百科知识

请输入您要查询的百科知识:

 

词条 大气污染模式
类别 中文百科知识
释义

大气污染模式daqi wuran moshi

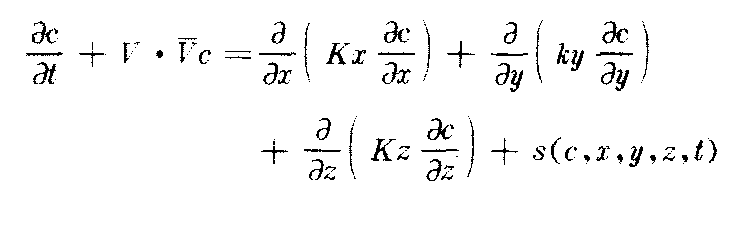
污染物在大气中迁移和扩散规律的数学描述,是环境数学模式的一种,利用它可以预报在给定的污染源强度和气象条件下某种污染物的时间和空间分布。通过大气污染模式不仅能知道不同类型污染源和新污染源在大气污染中所起的作用,还能预报区域或全球大气质量。这种模式可用物质连续方程的数值求解模拟污染物的扩散、迁移和反应过程。其常用的积分求解方法有两种: 运动气室法(拉格朗日算子)和固定坐标法(欧拉算子)。大多数大气污染问题的基本扩散数学模式,可以写成如下的形式:

式中c为污染物浓度V为风速矢量;Kr、Ky和Kz分别为在x、y和z方向上污染物扩散度的分量;s为污染物的来源和丢失是浓度坐标和时间的函数;为拉普拉斯算符,即:

使用数值解 (有限差分法) 和解析解技术可以得到方程的解。
随便看

 

开放百科全书收录579518条英语、德语、日语等多语种百科知识,基本涵盖了大多数领域的百科知识,是一部内容自由、开放的电子版国际百科全书。

 

Copyright © 2000-2025 oenc.net All Rights Reserved
更新时间:2025/11/9 16:56:00