网站首页  百科知识

请输入您要查询的百科知识:

 

词条 多项式的辗转相除法
类别 中文百科知识
释义

多项式的辗转相除法duoxiangshi de zhanzhuan xiangchufa

一种求最高公因式的方法.对于数域P上任意两个多项式f(x),g(x),g(x)≠0,在P上存在一个最高公因式d(x),且d(x)可以表示成f(x),g(x)的一个组合,既有P上的多项式u(x),v(x)使

d(x)=u(x)f(x)+v(x)g(x).


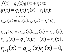
由带余式除法,若g(x)≠0可以得到下面一系列等式

其中,g(x),r1(x),r2(x),…的次数不断降低,有限步终止.rs(x)就是f(x)与g(x)的一个最高公因式.存在c,(f(x),g(x))=crs(x).把这种求最高公因式的方法称为辗转相除法.
由以上等式的倒数第二个,有


用它上面的等式逐个消去rs-1(x),rs-2(x),…,r1(x),并加以整理就得到

rs(x)=u1(x)f(x)+v1(x)g(x).

若d(x)=(f(x),g(x)),则d(x)=crs(x).
随便看

 

开放百科全书收录579518条英语、德语、日语等多语种百科知识,基本涵盖了大多数领域的百科知识,是一部内容自由、开放的电子版国际百科全书。

 

Copyright © 2000-2025 oenc.net All Rights Reserved
更新时间:2026/5/19 23:36:32