网站首页
百科知识
请输入您要查询的百科知识:
词条
多项式定理
类别
中文百科知识
释义
多项式定理duoxiangshi dingli
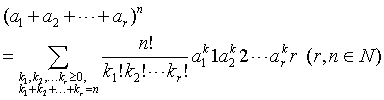
等式
叫做多项式定理.
特别地,当r = 2时,就是二项式定理.
随便看
(二)土地使用权与经营方式
(二)土地分布
(二)土地利用中存在的问题
(二) 土地利用的基本特点
(二)土地利用程度高,后备资源缺乏
(二)土地利用综合评价
(二)土地地貌类型
(二)土地执法检查
(二)土地改革
(二)土地改革成果
(二) 土地改革的主要做法及成果
(二)土地改革的过程和政策
(二)土地生产率提高
(二) 土地生产率逐年提高,经济作物快于粮食作物
(二)土地的适宜性评价
(二) 土地类型
(二)土地类型
(二)土地结构类型分布
(二)土地资源
(二) 土地资源构成
(二)土地资源类型多、质量差
(二)土地资源综合评价
(二)土地退化严重
(二)土地适宜性评价
(二) 土地革命战争时期
开放百科全书收录579518条英语、德语、日语等多语种百科知识,基本涵盖了大多数领域的百科知识,是一部内容自由、开放的电子版国际百科全书。
Copyright © 2000-2025 oenc.net All Rights Reserved
更新时间:2026/4/4 0:21:02