网站首页  百科知识

请输入您要查询的百科知识:

 

词条 多菌灵
类别 中文百科知识
释义

多菌灵carbendazim

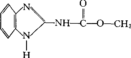
高效广谱低毒苯并咪唑类杀菌剂。商品名Bavistin。化学结构式:

最早由汉佩尔(H.Hampel)等人发现其杀菌活性。中国沈阳化工研究院于1970年进行了研究和开发,相继联邦德国巴斯夫(BASF)公司亦开发成功。
性能 纯品为白色无味固体,熔点310℃(分解),密度d4 20 1.45,不溶于水和一般有机溶剂,24℃时在各种溶剂中的溶解度为: 在pH4、7、8的水中分别为29毫克/升、8毫克/升和7毫克/升,乙醇300毫克/升、苯36毫克/升、己烷0.5毫克/升、乙酸乙酯135毫克/升、二氯甲烷68毫克/升、丙酮300毫克/升、氯仿100毫克/升,可溶于稀无机酸和有机酸,而形成相应的盐。在阴凉干燥处可贮存2~3年。对热较稳定,遇酸、碱分解。
对温血动物低毒。大鼠 口服 LD50>15000毫克/千克,大鼠经皮LD50>2000毫克/千克,大鼠腹腔注射LD50>15000毫克/千克。大鼠饲喂90天的无毒剂量>400毫克/千克,狗和大鼠两年饲喂的无作用剂量为300毫克/千克,未见致畸和致突变作用,鲤鱼96小时LC50为114毫克/升,对蜜蜂无毒。高效、广谱,对子囊菌、半知菌和担子菌中的许多真菌具有良好的生物活性。对卵菌和细菌引起的病害无效,同时兼有保护和治疗作用,其作用机制为干扰细胞的有丝分裂过程。
应用 广泛用于大田作物、蔬菜、果树和经济作物病害的防治。以250~ 500毫克/升浓度喷洒,防治麦类赤霉病、水稻稻瘟病、纹枯病和小粒菌核病、油菜菌核病和番茄早疫病;以500~ 1000毫克/升浓度喷洒防治梨黑星病、桃疮痂病、苹果褐斑病、葡萄白腐病、黑豆炭疽病及花卉的某些病害,通常均能达到>80%的防治效果。拌种或浸种防治麦类黑穗病,棉花苗期病害,花生立枯病、茎腐病、根腐病,以及以50毫克/升药液浸种薯防治甘薯黑斑病,均取得良好的防治效果。可与铜制剂以外的多种杀菌剂混用。多菌灵单一制剂长期连续使用,会使病原菌产生抗药性,与苯菌灵等苯并咪唑类杀菌剂有交互抗药性,其加工制剂有10%、25%和50% 的可湿性粉剂,以及40%的胶悬剂。

多菌灵

又称“棉萎灵”、“苯并咪唑44号”。低毒的内吸杀菌剂。难溶于水,能溶于无机酸和醋酸,化学性质稳定。用于防治麦类赤霉病、黑穗病、小麦白粉病、棉花立枯和炭疽病、稻瘟病和纹枯病、甘薯黑斑病等。

多菌灵carbendazim MBC

杂环类杀菌剂。化学名称:苯并咪唑-2-基氨基甲酸甲酯。化学结构式如下。原药为淡灰色粉末,20℃时水中溶解度pH6时为8 mg/L,pH8时为28 mg/L,乙醇中300mg/L,苯36 mg/L,二氯甲烷68 mg/L,易溶于二甲基甲酰胺,在酸中稳定,形成水溶性盐如多菌灵盐酸盐,在碱性溶液中缓慢分解,原药在干燥、阴凉处可贮存2~3年。1973年首先由汉普奥(H.Hampel)和洛赫尔(F.L⍥cher)报道了杀菌活性,赫司特公司(Hoechst co.LTD)推广。广谱性内吸杀菌剂,种子处理,叶面喷洒防治粮油作物、果树、蔬菜、花卉等多种作物病害,如麦类黑穗病、白粉病、赤霉病、油菜菌核病、棉花苗期病害、蔬菜灰霉病、果树黑星病、山芋黑斑病、花生倒秧病、黑斑病、大豆灰斑病等。但对真菌中的卵菌、子囊菌中的孔出孢子属和环痕孢子属如交链孢菌及植物病原细菌所致病害无效或只有微弱毒力。它对真菌孢子萌芽的抑制能力很小,主要是阻止菌丝的生长。对菌体细胞的作用类似秋水仙素,能与细胞核中微管蛋白的亚基结合成复合体,从而阻碍纺锤丝的正常形成,抑制细胞有丝分裂。对人畜低毒,大鼠口服急性LD50>2 000 mg/kg。在使用剂量下对植物安全。收获前的安全间隔期为25天(草莓为14天)。允许残留量(mg/kg)谷物0.5、黄瓜0.5、葡萄3.0、香蕉(肉)0.2、柑橘(去皮)1.0。

多菌灵

又称苯骈咪唑44号,苯骈米唑类内吸杀菌剂。1973年美国的H.汉佩尔和F.劳契尔发现其杀菌性。纯品为白色结晶粉末,广谱抗菌剂,对麦类赤霉病有特效。剂型主要有25%、50%可湿性粉剂,40%悬浮剂。

随便看

 

开放百科全书收录579518条英语、德语、日语等多语种百科知识,基本涵盖了大多数领域的百科知识,是一部内容自由、开放的电子版国际百科全书。

 

Copyright © 2000-2025 oenc.net All Rights Reserved
更新时间:2026/5/19 11:21:33