网站首页  百科知识

请输入您要查询的百科知识:

 

词条 复数的除法
类别 中文百科知识
释义

复数的除法fushu de chufa

复数乘法的逆运算,即把满足

(c+di)(x+yi)=a+bi(c+di≠0)

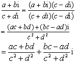
的复数x+yi称作复数a+bi除以复数c+di所得的商,记作(a+bi)÷(c+di)或(a+bi)/(c+di).具体地将两个复数相除时,它的法则是应先把它们的商写成分式的形式,然后将分子和分母同时乘以分母的共轭复数,使分母实部化.并把结果化简便得到要求的商.具体过程是

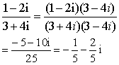
因为c+di≠0,所以c2+d2≠0.因此商是一个唯确定的复数,例如,

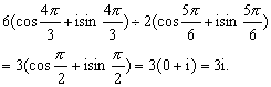
两个三角形式的复数相除时,可按下面的除法法则进行:两个复数相除,商的模等于被除数的模除以除数的模所得的商,商的幅角等于被除数的幅角减去除数的幅角所得的差.即

 

 

例如

 
随便看

 

开放百科全书收录579518条英语、德语、日语等多语种百科知识,基本涵盖了大多数领域的百科知识,是一部内容自由、开放的电子版国际百科全书。

 

Copyright © 2000-2025 oenc.net All Rights Reserved
更新时间:2026/5/18 12:32:53