网站首页  百科知识

请输入您要查询的百科知识:

 

词条 复数乘方法则
类别 中文百科知识
释义

复数乘方法则fushu chengfang faze

复数的n(n∈N)次幂的模等于这个复数模的n次幂,它的辐角等于这个复数辐角的n倍.即
若 z=r(cosθ+isinθ),
则 zn=rn(cosnθ+isinnθ).(1)
这个法则又叫做棣莫佛定理.公式(1)称为棣莫佛公式:
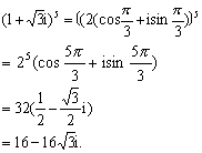
进行复数的乘、除法(尤其是多个复数相乘除)及复数的乘方运算时,利用复数的三角形式比较简便.例如,计算(1+i)5,应先把1+i化作三角形式之后再进行运算.即

随便看

 

开放百科全书收录579518条英语、德语、日语等多语种百科知识,基本涵盖了大多数领域的百科知识,是一部内容自由、开放的电子版国际百科全书。

 

Copyright © 2000-2025 oenc.net All Rights Reserved
更新时间:2026/1/12 20:23:10