网站首页  百科知识

请输入您要查询的百科知识:

 

词条 复合函数的求导法则
类别 中文百科知识
释义

复合函数的求导法则fuhe hanshu de qiudaofaze

若函数u=φ(x)在点x存在导数φ ′ (x),函数y=f (u)在其对应点u也存在导数f′ (u),则复合函数y=f [φ (x)] 在点x也可导,且有法则
{f [φ (x)]}′ =f′ (u)φ ′ (x) =f′ [φ (x)]φ ′ (x)


本法则通常称为链式法则,可推广到有限次复合的情形。如对于三次复合的情形,若y=f (u),u=φ (x),x=g (t)都可导,则 (f {φ [g (t)]})′ =f′(u) φ ′ (x) g′ (t)。
复合函数求导法则的作用是将某些复杂函数的导数化为几个更基本的函数的导数的乘积,以便简化运算。运用该法则的关键在于正确地分析函数的复合过程。
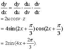
例 求 y=sin2 (2x+π/3)的导数。

解 设

随便看

 

开放百科全书收录579518条英语、德语、日语等多语种百科知识,基本涵盖了大多数领域的百科知识,是一部内容自由、开放的电子版国际百科全书。

 

Copyright © 2000-2025 oenc.net All Rights Reserved
更新时间:2026/5/18 23:41:34