网站首页
百科知识
请输入您要查询的百科知识:
词条
复合二次根式
类别
中文百科知识
释义
复合二次根式fuhe erci genshi
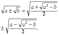
通常把
叫做复合二次根式,其中
b.当a
2
-b是完全平方数时,有计算公式
随便看
第十三章 地 (市) 县农村经济
第十三章 地(市)县农村经济
第十三章 市(地)、县(市)农村经济
第十三节 密云县
第十三节 张掖地区依靠政策和科技,促进临泽农村经济发展
第十三节 梧州市
第十三节 涪陵地区
第十个五年计划
第十个弹孔
第十九节 阿坝藏族羌族自治州
第十二兵团兼湖南军区军政干部学校
第十二夜
第十二届
第十二届上海国际酒店用品博览会
第十二步兵预备学校
第十二章 农业机构
第十二章 农村基层建设与村镇建设
第十二章 农村基层组织建设
第十二章 农村基层组织建设与精神文明建设
第十二章 农村教育、文化与卫生
第十二章 区县经济
第十二章 县区农村经济
第十二章 地县农村经济
第十二章 地(市)农村经济
第十二章 市(地)、县(市)、场农村经济
开放百科全书收录579518条英语、德语、日语等多语种百科知识,基本涵盖了大多数领域的百科知识,是一部内容自由、开放的电子版国际百科全书。
Copyright © 2000-2025 oenc.net All Rights Reserved
更新时间:2026/5/19 16:15:00