网站首页  百科知识

请输入您要查询的百科知识:

 

词条 地乐酚
类别 中文百科知识
释义

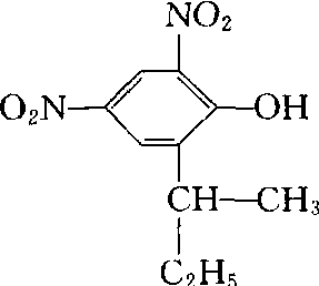
地乐酚dinoseb

酚类触杀性除草剂。化学名称:2-(1-甲基-正-丙基)-4,6-二硝基苯酚。化学结构式如下。产品为橙棕色液体,熔点38~42℃,微溶于水,溶于大多数有机溶剂与矿油,与无机或有机碱生成的盐,可溶于水。水溶液对碳钢有腐蚀性。可用于豆类、谷物类作物,防除一年生杂草。播后芽前土壤处理。对人、畜有毒,大鼠急性口服LD50为58 mg/kg,兔急性经皮LD50为80~200mg/kg。

随便看

 

开放百科全书收录579518条英语、德语、日语等多语种百科知识,基本涵盖了大多数领域的百科知识,是一部内容自由、开放的电子版国际百科全书。

 

Copyright © 2000-2025 oenc.net All Rights Reserved
更新时间:2026/5/18 12:30:49