网站首页  百科知识

请输入您要查询的百科知识:

 

词条 土壤磷素吸附和解吸作用
类别 中文百科知识
释义

土壤磷素吸附和解吸作用adsorpton anddesorption of phosphorus in soil

土壤溶液中的磷酸离子被土壤固相所吸持,谓之吸附。其逆向反应谓之解吸。吸附和解吸开始时都是发生在土壤固、液相的界面上。吸附作用可以发生在具有不变电荷土粒的表面(如结晶态的粘土矿物),也可以发生在可变电荷的土粒表面(如铁铝氧化物、土壤有机质和方解石等物质)上。
磷素吸附
土壤对磷酸离子的吸附,分为物理吸附(非专性吸附)和化学吸附(专性吸附)。
物理吸附
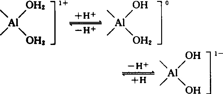
当土壤溶液的pH值低于土壤吸附剂的等电点时,吸附剂上的-OH基被质子化:

Me-OH+H+ →Me-OH2+


而后带正电荷的表面因静电引力吸引带负电的磷酸离子。因为这种因静电引力而形成的吸附对于任何负电荷的离子都能发生,故称非专性吸附。

MeOH2+H2PO4→MeOH+2·H2PO-4


式中 Me为吸附剂。
化学吸附
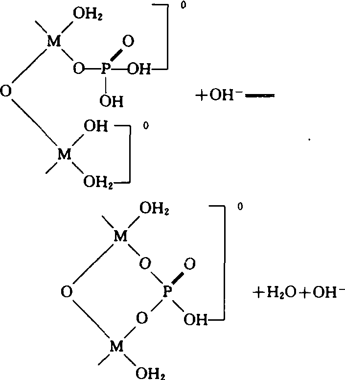
土壤中具有可变电荷的颗粒(如铁铝氧化物和某些粘土矿物)表面上的-OH基或-OH2基与磷酸离子进行配位交换的过程。这种离子配位交换是专一性的,故称专性吸附。
土壤中铁铝氧化物中的-OH基和-H2O基,与Fe、Al以共价键结合,在晶体的边缘形成



结构,此结构在等电点时为电中性,在介质pH值变化时,电荷则作如下变化(可变电荷):



磷与-OH基或-OH2进行配位交换而被专性吸附。其过程如下:
(1)H2PO-4和OH2交换即:


(2)或者H2PO-4和OH-交换,即:


过程(1)并不伴随着溶液的pH值改变,过程(2)可使溶液的pH值上升。
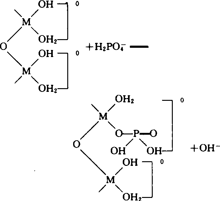
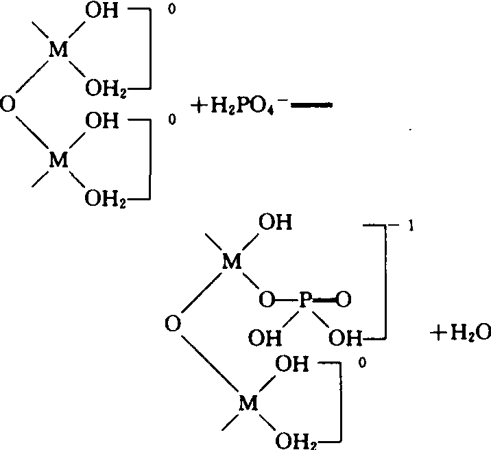
上述两过程的产物,随着时间的延续,都可以变为环状结构:



所生成的环状结构比较稳定,使得吸附磷的有效性降低。
由于磷素的专性吸附伴有电荷改变(负电荷增加),从而导致土壤阳离子交换量的增加。这一现象在含有大量铁铝氧化物的土壤中更为明显。
磷的吸附方程
是描述磷酸离子被吸附过程中固相吸附量和溶液平衡浓度之间定量关系的方程。常用的有Langmuir方程、Freundlich方程和Temkin方程。
Langmuir方程通常的形式是:



式中 q为单位重量土壤的吸附量;c为平衡时溶液中磷的浓度;a为常数,和结合能有关;b为最大吸附量,常数。
上述方程本是用于气体吸附,用于土壤时,有一些条件与原要求不一致。例如,原方程首先要求吸附能为常数,即有均一的吸附位,但土壤磷的吸附位具有不同的吸附能,因而是不均一的。但在较低浓度范围内,吸附能是均一的。其次,原方程要求被吸附体是单层分子覆盖,而在磷浓度高时,并不呈单分子层分布。
尽管有以上差异,大量研究证明,Langmuir方程在一定浓度范围内仍可以很好地拟合磷的吸附数据。
为了计算方便,Langmuir方程(1)可以改为以下形式:



如果用式(2)C/q和C作图,即可得到一条直线,1/b为直线的斜率,1/ab为直线在纵轴上的截距,由此,即可计算出a、b两个常数。而C/q的倒数,可以看作是磷素的缓冲能力。
研究表明,按照(2)式拟合,在磷浓度高时常常得到直线下部弯曲的图形。这是因为土壤中的吸附位不是均一的,它们具有不同的吸附能。
Freundlich方程的一般形式是:

q=acb


式中 q是单位重量土壤的磷吸附量; c是平衡时溶液中磷浓度; a、b是常数,因土壤不同而异。
Frendlich方程与Langmuir方程不同之处,在于前者表明,随着吸附量的增加,磷的吸附能减小;后者表明,随着磷素吸附量增加,磷的结合能保持不变。
为了更好地使Freundlich方程与实验数据拟合,可以考虑引入常数D,即把土壤中原有的磷考虑进去,Freundlich方程便可改写成:

q=acb-D


Temkin方程的表达形式是:

q/b=RT/E lnFc


式中 E、F是常数;b、c、q与Langmuir方程中同义。这一方程也表明,随着磷吸附量的增加,磷的结合能减小。
上述三个方程,大体都能很好地应用于表征一定的磷浓度下(100毫克/千克)的土壤磷素吸附特征(q和c的关系)。
磷素解吸
吸附状态的磷重新进入土壤溶液的过程。是吸附过程的逆向反应。
磷素解吸作用在农业生产上具有重要作用。当作物从土壤溶液中吸取磷素之后,土壤固相上吸附的交换态磷必须对其进行补充,才能维持土壤溶液中的磷处于最适浓度。这就要依靠磷素的解吸作用来完成。而土壤中的吸附态磷并不能全部被重新解吸的。所以,土壤磷素的解吸等温线并不和磷素吸附等温线相重合(见图)。其原因可能是吸附磷形成了环状结构,而环状的吸附态磷是不能被解吸的。此外,也可能由于吸附态磷通过扩散作用进入了铁铝氧化物的深层,从而失去了可解吸性。



磷素吸附和解吸等温线的差异


土壤磷素解吸的机理大体有:❶化学平衡反应。土壤溶液中磷浓度因作物吸收而降低,从而失去了原有的平衡,使反应向解吸方向进行。
❷竞争吸附。所有能进行阴离子吸附的阴离子,在理论上都可与磷酸根进行竞争吸附作用,以致使吸附态磷不同程度的解吸,竞争吸附的强弱主要决定于磷和竞争阴离子间的相对浓度。但是,在浓度相同的情况下,磷酸离子比大多数阴离子都具有更大的竞争吸附能力,在这种情况下,其他阴离子的存在不会引起磷的解吸。
随便看

 

开放百科全书收录579518条英语、德语、日语等多语种百科知识,基本涵盖了大多数领域的百科知识,是一部内容自由、开放的电子版国际百科全书。

 

Copyright © 2000-2025 oenc.net All Rights Reserved
更新时间:2026/5/18 16:10:41