网站首页  百科知识

请输入您要查询的百科知识:

 

词条 圆的切线长
类别 中文百科知识
释义

圆的切线长yuan de qiexian chang

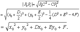
由圆x2+y2+Dx+Ey+F=0外一点P0 (x0,y0)引圆的切线,切点是P1 (如图),则切线长


证 圆

x1+y2+Dx+Ey+F=0

的圆心是

半径是

由于△CP0P1是直角

三角形, 依据勾股定理


此计算公式的形式上的特点是:将圆外一点P0的坐标代入圆的方程,再取算术平方根.


据此,自P0(x0,y0)引圆(x-a)2+ (y-b)2 =r2的切线,则切线长等于
随便看

 

开放百科全书收录579518条英语、德语、日语等多语种百科知识,基本涵盖了大多数领域的百科知识,是一部内容自由、开放的电子版国际百科全书。

 

Copyright © 2000-2025 oenc.net All Rights Reserved
更新时间:2026/5/18 18:43:49