网站首页  百科知识

请输入您要查询的百科知识:

 

词条 回归分析
类别 中文百科知识
释义

回归分析huigui fenxi

“回归”原是生物学的词汇。英国科学家F·高尔顿在研究中发现:父母的身高与其子女的身高有一定的关系,即子女的身高向其父母的平均身高方向趋近,这种趋近现象称为“回归”。后来以此名词泛指变量间的这种关系。变量之间的关系一般可分为两类。一类是一种完全确定的关系,即称函数关系,如圆面积A与半径R的函数关系为A=πR2。另一类是一种不完全确定的关系,即称相关关系,如身高与体重的关系中,一般说来身高者体也重,但也有身高者体并不重的。在教育上较多的是相关关系。回归分析就是处理多个变量间相关关系的一种数学方法,它主要解决:❶确定几个特定变量之间是否存在相关关系?如是,则要找出它们之间的合适数学表达式;
❷根据一个或几个变量的值,预测或控制另一个变量的取值,并要知道这种预测的精确度;
❸进行因素分析,找出主要变量和次要变量等。
回归与相关有联系也有区别。相关表示两个变量之间的双方向的关系,而回归表示一个变量随另一个变量变化的单方向的关系。
回归分析的主要内容有一元线性回归、二元线性回归和多元线性回归等。其中的“元”是指自变量的个数。这里着重介绍一元线性回归。
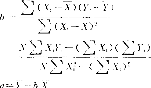
一元线性回归直线的计算 假定变量X与Y之间存在某种相关关系,而我们想以变量X来估计Y;这时X为自变量,Y为因变量。通过实验或观测,我们可以找到关于X与Y的若干数据;然后通过这些数据找到一条能描述这两个变量间关系的数学表达式(亦称经验公式)。若它们的关系是呈一直线,则称为一元线性回归直线。其一般形式为

式中 Y——X的估计值
a和b——回归方程的常数项和回归系数。其中

式中 N——数据(X1,Y1)的对数
[例1] 某中学12个学生的初二和初三的数学统考成绩如下。求其回归方程。

初二635352588860625676559049
初三605071579867874787719651



回归方程的效果 这个问题具体指:❶回归系数b是否显著?若显著,则回归或预测效果较好。
❷回归效率有多大?即能被预测的成分占总成分的比例有多少。为此必须先对回归方程进行统计检验。检验的方法是对回归方程进行方差分析,即把因变量(Y)之间的总变差(SST)分解成自变量(X)之间的变差(SSU)和剩余变差(SSQ):

SST=SSL+SSQ


式中 SSU——回归平方和,属一种预测的变差
SSQ——剩余平方和,属一种非预测的变差
它们的方差分析表如下:


a=0.01及f1 =1和f2= 10查F分布表得F(1.10)0.01=10.0。由F>F(1,10)0.01=10,故拒绝假设H0,即回归方程的回归系数有极显著的意义,亦即回归方程的效果很好。
回归方程的效率是回归变差在总变差中所占的比重,即

式中 r——相关系数
其余符号同前。
从式中亦可知,回归效率恰为相关系数的平方。
69.5%。
注意:如果F检验不显著,则有下列几种可能:❶影响Y的因素除X外,至少还有一个不可忽视的因素;
❷X和Y是非线性关系;
❸X与Y无关。
利用回归方程进行预测 从统计观点来看,所谓预测就是一个区间估计问题。即在回归方程中,在一定的置信水平α下,找出一个正数δ,使得某自变量X0所对应的实际观测值Ŷ0以(1-α)的概率落在(Ŷ0-δ,Ŷ+δ)之内,即

称随机因素波动程度的指标。显然,S愈小即随机因素的波动愈小,则对Y0的预测就愈准确(即估计值Y0愈接近于Y0)。因此S是回归方程中预测Y0的精确度的指标。设X0来自于正态分布,则它所对应的Y0和Y0也服从于正态分布,因而Y0-Ŷ0也服从于正态分布。这就是说,当X=X0时,实际观测值Y0是以估计值Ŷ0为中心而正态地分布着,并且它与S之间有下述关系:
Y0落在Ŷ0±S内的概率约为0.683(68.3%);
Y0落在Ŷ0±2S内的概率约为0.954(95.4%);
Y0落在Ŷ0±3S内的概率约为0.997(99.7%)。
就一般而言,Y0落在下面二直线之间的概率为1-a:


故Y0落在这2条直线内的概率为95%以上。
多元线性回归的方法与一元线性回归的思想基本相同,其回归方程为
任何两个变量之离差积的平方和为

则关于b1,b2,…,bk的正规方程组为

解这一正规方程组可得:b1,b2,…,bk;



多元线性回归的方差分析表如下:


检验多元线性回归的效果是用复相关系数:

K2为回归效率。R与相关系数r的意义相同,但0≤R≤1;其检验方法亦与r相同,但自由度为N-K。

回归分析huigui fenxi

根据变量间的数量关系的模型来预测其中一些变量的状态的方法。由于描述、预测和控制是心理学研究的主要目的,因此,作为预测方法之一的回归分析具有很重要的意义。一般来说,回归系数越高,预测越精确;反之,预测的误差越大。回归分析主要有:
❶一元线性回归。变量之间关系的数学表达式是一次函数,一次函数在坐标图上以直线表示,对这种关系的回归分析就是线性回归分析。只有一个自变量的线性回归叫一元线性回归。如根据学生智力测验的智商分数预测其学习成绩。
❷多元线性回归。自变量是两个或两个以上时的线性回归分析。其基本假定、原理及基本计算过程与一元线性回归是相同的。
❸曲线回归。有些变量之间关系的数学模型是曲线方程,由于按方程作出的曲线并没有一定的规律、趋势,因此,曲线回归一般用于描述而不用于预测,在心理学的实际研究中应用很少。

回归分析

数理统计的一个内容。详“相关分析”。

随便看

 

开放百科全书收录579518条英语、德语、日语等多语种百科知识,基本涵盖了大多数领域的百科知识,是一部内容自由、开放的电子版国际百科全书。

 

Copyright © 2000-2025 oenc.net All Rights Reserved
更新时间:2026/5/19 12:09:26