网站首页  百科知识

请输入您要查询的百科知识:

 

词条 四溴氰菊酯
类别 中文百科知识
释义

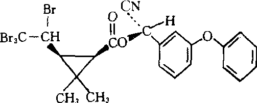
四溴氰菊酯tralomethrin

又称scout。化学名称:(S)α-氰基-3-苯氧基苄基(1R,3S)-2,2-二甲基-3-〔(RS)-1,2,2,2-四溴乙基〕环丙烷羧酸酯。化学结构式如下。技术级93%纯度是橘黄色树脂状固体,是两种异构体的混合物,密度0.901,沸点138~148℃。溶解度水中70mg/kg,在丙酮、二甲苯、二氯乙烷中1 kg/L。大鼠口服LD50(♂)为1 250、(♀)为1 070mg/kg,吸入LC50(♂)为2 700、(♀)为3 900 mg/m3,兔涂皮>2 000mg/kg。对鱼、蜜蜂剧毒。防治棉花、大豆、蔬菜的鳞翅目幼虫。

随便看

 

开放百科全书收录579518条英语、德语、日语等多语种百科知识,基本涵盖了大多数领域的百科知识,是一部内容自由、开放的电子版国际百科全书。

 

Copyright © 2000-2025 oenc.net All Rights Reserved
更新时间:2026/5/19 15:15:41