网站首页  百科知识

请输入您要查询的百科知识:

 

词条 四元数和八元数
类别 中文百科知识
释义

四元数和八元数siyuanshu he bayuanshu

由实数的四元序对和八元序对分别构成的代数结构.复数可以看成是实数的二元序对构成的代数结构.英国数学家哈密尔顿首先引入四元数系,这是在放弃乘法适合交换律,保留其他算律而得到的超复数系.
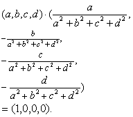
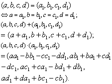
令S = {(a,b,c,d) |a,b,c,d∈R},即实数四元数组的集合.并规定

则可证明加法适合交换律、结合律,(0,0,0,0)是零元,即(0,0,0,0)+(a,b,c,d)=(a,b,c,d);乘法适合结合律,且有单位元(1,0,0,0),即对一切(a,b,c,d)有(1,0,0,0)·(a,b,c,d)=(a,b,c,d);乘法对加法适合分配律;并且,当(a,b,c,d)≠0时.


但一般地,αβ≠βα.
这样,S联同加法、乘法做成的系统称为四元数系.这是一个超复数系,其元素称为四元数.
四元数理论在理论力学中得到一些应用.但四元数在其他方面的尝试并未成功,它的作用与复数的作用是不能比的.
若令1=(1,0,0,0),i=(0,1,0,0),j=(0,0,1,0),k=(0,0,0,1),则(a,b,c,d)=a+bi+cj+dk).a称为它的实数部分,bi+cj+dk)称为它的向量部分.
设a=a+bi+cj+dk,令a*=a-bi-cj-dk称为a的共轭.容易证明,a·a*=a2+b2+c2+d2;并且(αβ)*=β*α*.
在探讨超复数系的过程中,还提出了拟四元数的概念以及八元数的概念.由于,这种系统与普通数系差别太大,又没有找到应用,在数学史上没有多大影响.最著名的是凯莱提出的八元数概念.
八元数定义为由二个四元数的序对(a,b)所组成.其运算为

(a,b)+(c,d)=(a+c,b+a),

(a,b)(c,d)=(ac-d*b,da+bc*),a(a,b)=(aa,ab),a∈R


其中c*,d*分别为四元数c,d的共轭.若令1=(1,0),e1=(i,0),e2=(j,0),e3=(k,0),e4=(i,0),e5=(0.i),e6=(0,j),e7=(0,k),则有乘法表

 1e1e2e3e4e5e6e7
11e1e2e3e4e5e6e7
e1e1— 1e3— e2e5—e4—e7e6
e2e2— e3— 1e1e6e7—e4—e5
e3e3e2— e1— 1e7— e6e5—e4
e4e4— e5— e6— e7— 1e1e2e3
e5e5e4— e7e6— e1— 1— e3e2
e6e6e7e4— e5—e2e3—1—e1
e7e7—e6e5e4— e3— e2e1—1


每个八元数可写成

x=x0+x1e1+…+x7e7,x1∈R

八元数乘法不满足交换律和结合律,如

e3(e4e5) ≠

(e3e4)e5

;但满足yx2=(yx)x,x2y=x(xy).
1861年,威尔斯特拉斯证明(1864年发表):保存普通数系所有性质不变(即满足加法交换律、结合律;乘法结合律、交换律,且乘法对加法分配律),要构造比复数系更一般的数系是不可能的.而1878年佛罗贝尼乌斯证明:满足除去乘法交换律以外所有代数基本性质的超复数系,只有四元数一种.至此,对于数系的讨论圆满地完成了.
随便看

 

开放百科全书收录579518条英语、德语、日语等多语种百科知识,基本涵盖了大多数领域的百科知识,是一部内容自由、开放的电子版国际百科全书。

 

Copyright © 2000-2025 oenc.net All Rights Reserved
更新时间:2026/1/12 20:47:30