网站首页  百科知识

请输入您要查询的百科知识:

 

词条 噁唑烷酮
类别 中文百科知识
释义

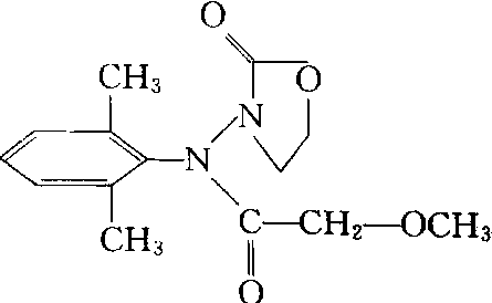
噁唑烷酮oxadixyl

又称噁酰胺、噁霜灵。噁唑烷酮类杀菌剂。化学名称:2-甲氧基-N-(2-氧代-1,3-噁唑烷-3-基)-2,6 -二甲基乙酰替苯胺。化学结构式如下。原药无色结晶.溶于水(3 400 mg/kg)及极性溶剂中,不挥发,辛醇/水分配系数极低,不易在动物组织中积累,化学稳定,药液浓度20 mg/kg,在弱酸、弱碱、中性(pH5、pH9、pH7)及室温下,对光稳定。内吸性杀菌剂,主要用于防治由霜霉菌、白锈菌、疫霉菌、腐霉菌引起的病害,具有保护、治疗和铲除作用。对子囊菌,担子菌和半知菌均无效。药剂在植物叶片的渗透和内吸性能极好,可通过根、茎、叶,向顶、向基转移。它对病菌的作用机制与苯基酰胺类杀菌剂(如甲霜灵)相似,即抑制核糖核酸合成的聚合酶,因此这二类杀菌剂具有相同的杀菌谱和正交互抗药性。为扩大防治范围,可与代森锰锌、灭菌丹及含铜制剂复配,与代森锰锌的复配制剂即称杀毒凡(Sandefan-M8 ),其中8%酰胺、56%代森锰锌,用于防治蔬菜病害。对植物安全,对人低毒,对小鼠口服急性LD501 860~2 150 mg /kg,大鼠经皮LD50>2 000 mg/kg。对兔眼睛、皮肤无刺激作用。

随便看

 

开放百科全书收录579518条英语、德语、日语等多语种百科知识,基本涵盖了大多数领域的百科知识,是一部内容自由、开放的电子版国际百科全书。

 

Copyright © 2000-2025 oenc.net All Rights Reserved
更新时间:2025/11/9 20:29:40