网站首页  百科知识

请输入您要查询的百科知识:

 

词条 嘧啶氧磷
类别 中文百科知识
释义

嘧啶氧磷

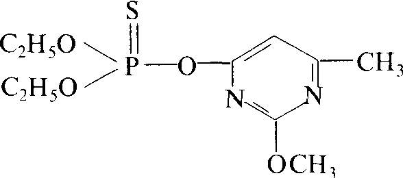
广谱性油状硫逐式一硫代磷酸酯类杀虫杀螨剂。化学结构式:

1974年中国沈阳化工研究院首先开发。
性能 纯品为无色透明油状液体,有水存在下会发生水解,酸、碱介质加速水解作用,受热易分解。微溶于水,15℃时水中溶解度为375毫克/升,可溶于一般有机溶剂。对高等动物毒性较低,大白鼠急性口服LD50183.4毫克/千克; 急性经皮LD50 1062毫克/千克(雄)。对鱼类、蜜蜂毒性较高。嘧啶氧磷对害虫具有触杀、胃毒作用和一定内吸作用。
应用 嘧啶氧磷主要以乳油对水喷雾,用于棉花、水稻、大豆、果树、甘蔗、茶树等作物,防治棉蚜、叶螨、稻飞虱、叶蝉、蓟马、稻瘿蚊、廿蔗金龟子上述各类作物的鳞翅目害虫。小麦种子处理,可防治蛴螬、蝼咕、地老虎等土壤害虫。高粱对嘧啶氧磷敏感,应慎用。

嘧啶氧磷pyrimyoxthion

广谱性油状有机磷杀虫、杀螨剂。化学名称:O,O-二乙基-O-(2-甲氧基-6-甲基嘧啶基-4)基硫逐磷酸酯。化学结构式如下。工业原药淡黄色油状液体,密度(d204) 1.2029、水中溶解度15℃时3.75 g/L,易溶于有机溶剂,急性口服LD50小鼠(♀)为79.4 mg/kg、(♂)为86.7mg/kg、大鼠为183.4 mg/kg,经皮LD50大鼠为1 062 mg/kg。有内吸作用,可以防治棉蚜、棉叶螨、水稻三化螟和二化螟(卵孵高峰期前1~3天)、稻纵卷叶螟、稻飞虱、稻叶蝉、稻瘿蚊,稻蓟马。还可以防治地下害虫蝼蛄,蛴螬、地老虎等采用喷药拌麦种或拌细土撒施。

随便看

 

开放百科全书收录579518条英语、德语、日语等多语种百科知识,基本涵盖了大多数领域的百科知识,是一部内容自由、开放的电子版国际百科全书。

 

Copyright © 2000-2025 oenc.net All Rights Reserved
更新时间:2026/5/18 18:39:21