网站首页  百科知识

请输入您要查询的百科知识:

 

词条 咯喹酮
类别 中文百科知识
释义

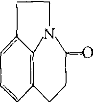
咯喹酮pyroquilon

又称丰谷隆。杂环类杀菌剂。化学名称:1,2,5,6-四氢吡咯并(3,2,1-ij)喹啉-4-酮。化学结构式如下。原药为白色结晶,熔点112℃,20℃时溶解度(g/L)水4,甲醇240,丙酮125;在320℃以下稳定,320℃以上分解。主要用于防治稻瘟病。抑制菌体的黑色素合成,使其丧失侵染能力,但对已经侵染的病菌无治疗作用。施药时间分育苗箱和田间,叶稻瘟发病前至初病期或抽穗前。对人、畜毒性轻微至中等。

随便看

 

开放百科全书收录579518条英语、德语、日语等多语种百科知识,基本涵盖了大多数领域的百科知识,是一部内容自由、开放的电子版国际百科全书。

 

Copyright © 2000-2025 oenc.net All Rights Reserved
更新时间:2026/5/19 10:26:23