网站首页  百科知识

请输入您要查询的百科知识:

 

词条 呋霜灵
类别 中文百科知识
释义

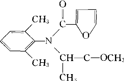
呋霜灵furalaxyl

杂环类杀菌剂。化学名称:N-(2,6-二甲基苯基)-N-(2-呋喃基羰基)-外消旋氨基丙酸甲酯。化学结构式如下。原药为双晶形结晶,熔点70~84℃,易溶于多种有机溶剂,在水中为230 mg/L。属内吸性杀菌剂,专用于由卵菌引起的植物病害,以叶面喷洒,土壤灌溉防治蔬菜、观赏植物的绵腐病、疫病等,对人畜低毒,大鼠急性口服LD50为940 mg/kg、急性经皮LD50>3 100 mg/kg。

随便看

 

开放百科全书收录579518条英语、德语、日语等多语种百科知识,基本涵盖了大多数领域的百科知识,是一部内容自由、开放的电子版国际百科全书。

 

Copyright © 2000-2025 oenc.net All Rights Reserved
更新时间:2026/5/18 17:44:54