网站首页  百科知识

请输入您要查询的百科知识:

 

词条 呋喃
类别 中文百科知识
释义

呋喃funan

含一个氧杂原子的五元杂环化合物。分子式C4H4O,无色液体,沸点为31.4℃,不溶于水,易溶于乙醇、乙醚。呋喃环上的5个原子均为sp2


化,处于同一平面,氧原子的一对未共用电子占据的p轨道垂直于环平面,与4个碳原子的p轨道平行且重叠,形成5原子6电子的闭合共轭体系,故具有芳香性。呋喃容易在α-位发生卤化、硝化、磺化等亲电取代反应:


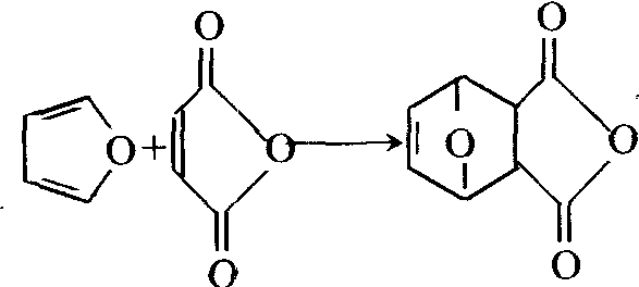
呋喃具有共轭烯烃的性质,可以发生双烯合成反应:



顺丁烯二酸酐

呋喃不稳定,容易发生氧化和聚合反应。呋喃催化氢化得到四氢呋喃:



四氢呋喃

四氢呋喃是一种环醚,无色液体,沸点为67℃,可与水混溶,能溶解许多有机物与无机物,是常用的溶剂。
呋喃的重要衍生物有糠醛 (参见“糠醛”)。在果糖、核糖等一些单糖及其衍生物分子中,有氢化呋喃的环状结构。
随便看

 

开放百科全书收录579518条英语、德语、日语等多语种百科知识,基本涵盖了大多数领域的百科知识,是一部内容自由、开放的电子版国际百科全书。

 

Copyright © 2000-2025 oenc.net All Rights Reserved
更新时间:2026/5/18 17:44:05