网站首页  百科知识

请输入您要查询的百科知识:

 

词条 x→x时函数的极限
类别 中文百科知识
释义

x→x0时函数的极限x→x0 shi hanshu de jixian

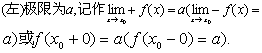
设函数f (x)在点x0的某一空心邻域内有定义,若x以任何方式无限接近x0时,对应的函数值f (x)无限接近常数a,则a叫做函数f (x)当x趋于x0时的极限。更精确地说,就是:
设函数f (x)在点x0的某个空心邻域内有定义,a是一个常数.若对任给的正数ε,都存在某一个正数δ,使得当0<|x-x0|<δ时,总有|f (x)-a|<ε,则称当x趋于x0时f (x) 的极限为a,记作(x) =a, 或f (x)→a (x→x0) x。x0
在上述定义中,正数ε表示f(x)与a的接近程度,δ表示使f(x)与a接近到ε时x与x0的接近程度,ε可以任意给定,而δ与ε有关 (也与x0有关)。“当0=|x-x0|<ε时,总有|f (x)-a| <ε”表示,只要x充分接近x0,f (x)就可以充分接近a. “0< |x-x0|”指出,当x→x0时,始终有x≠x0。这说明,当x→x0时,f(x)的极限与f (x)在x0是否有定义无关,而只与f(x)在点x0附近的函数值的变化有关。


极限的几何意义是,对于以直线y=a为中心线,宽为2ε的无论怎样窄的横带,必存在以直线x=x0为中心线,宽为2δ的直带,使曲线y=f (x)在直带内的部分全部落在横带内,但点(x0,f (x0))可能例外或无意义 (如上图)。
函数极限的定义,是连续性、导数等重要定义的依据. 极限方法用于研究微积分中的理论问题(如连续函数的性质,可积性理论等),也是一种重要的基本方法。因此,函数极限是微积分的最基本的概念之一。
随便看

 

开放百科全书收录579518条英语、德语、日语等多语种百科知识,基本涵盖了大多数领域的百科知识,是一部内容自由、开放的电子版国际百科全书。

 

Copyright © 2000-2025 oenc.net All Rights Reserved
更新时间:2026/5/18 18:33:44