网站首页  百科知识

请输入您要查询的百科知识:

 

词条 吡咯
类别 中文百科知识
释义

吡咯biluo

含一个氮杂原子的五元杂环化合物,分子式C4H5N。无色液体,沸点为131℃,不溶于水,易溶于乙醇、乙醚。吡咯环上的5个原子均为sp2杂化,处于同一平面,氮原子的


一对未共用电子占据的p轨道,与四个碳原子的p轨道平行且重叠,形成5原子、6个π电子的闭合共轭体系,具有芳香性,易发生亲电取代反应。如:



2,3,4,5-四溴吡咯

吡咯有弱酸性,可与固体氢氧化钾反应生成盐:


吡咯易被氧化,也可以催化氢化:



四氢吡咯

四氢吡咯为环状仲胺,有弱碱性。吡咯环与苯环并联


生长调节剂。
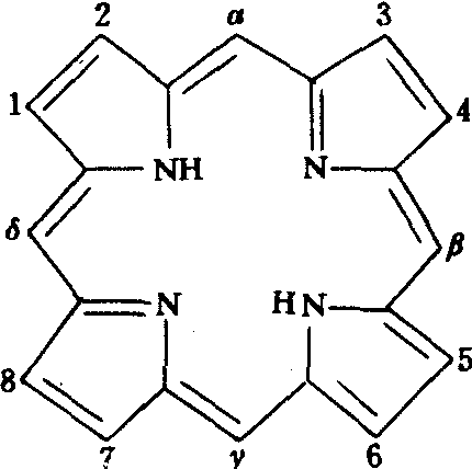
4个吡咯环由次甲基 (—CH=) 连接成的大环叫㗊环(见下图,


读音lei),也叫做卟吩。含有环的化合物叫㗊族化合物或卟啉。叶绿素、血红素都属㗊族化合物。
重要的吡咯衍生物还有胆红素、维生
素B12等。
随便看

 

开放百科全书收录579518条英语、德语、日语等多语种百科知识,基本涵盖了大多数领域的百科知识,是一部内容自由、开放的电子版国际百科全书。

 

Copyright © 2000-2025 oenc.net All Rights Reserved
更新时间:2026/5/19 22:16:19