网站首页  百科知识

请输入您要查询的百科知识:

 

词条 n次单位根
类别 中文百科知识
释义

n次单位根nci danweigen

1的n次方根.根据复数开方法则知道n次单位根有且仅有n个不同的值

分别以ε012,…,εn-1表示.显然,当k=0时,ε0=1.
n次单位根有以下性质
❶n次单位根的模是1,即|ε|=1.

❷任意两个n次单位根的乘积仍是一个n次单位根.

❸若m是整数,则



❹全部n次单位根恰好把复平面上的单位圆n等分,(1,0)是一个分点.
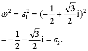
例如,三次单位根


习惯上用ω来表示ε1,则有

所以三次单位根通常表示为1,ω,ω2.
不难验证

|1|=|ω|=|ω2|=1;

1+ω+ω2=0.


在复数平面上标出三次单位根时,它们正好把一个单位圆三等分.
随便看

 

开放百科全书收录579518条英语、德语、日语等多语种百科知识,基本涵盖了大多数领域的百科知识,是一部内容自由、开放的电子版国际百科全书。

 

Copyright © 2000-2025 oenc.net All Rights Reserved
更新时间:2025/11/10 12:05:37