网站首页  百科知识

请输入您要查询的百科知识:

 

词条 叶黄素
类别 中文百科知识
释义

叶黄素yehuangsu

又叫“胡萝卜素醇”。类胡萝卜素的一种。是胡萝卜素含氧衍生物。分子式为C40H56O2。有多种异构体,呈黄色,存在于叶绿体和有色体中。起初作为卵黄的黄色素而发现,所以亦称为“卵黄素”。叶黄素不溶于水,能溶于有机溶剂。由于含氧,故比胡萝卜素亲水性强些。一般来说,叶黄素在植物体内的含量比胡萝卜素要多,它是叶子最丰富的黄色素。正常叶子中绿色的叶绿素与黄色的叶黄素及胡萝卜素的比例约为3:1,黄色素为叶绿素所掩盖,所以叶子呈现绿色。在暗处生长的幼苗叶子发黄,是因为缺光下叶绿素不能形成,叶黄素等黄色素就显露出来。秋天叶子变黄,是因为秋天温度下降而光照仍较强,所以叶绿素的破坏速率超过了它的形成速率,而叶黄素等黄色素比较稳定,因此,叶子逐渐变黄。

叶黄素

见“类胡萝卜素”。

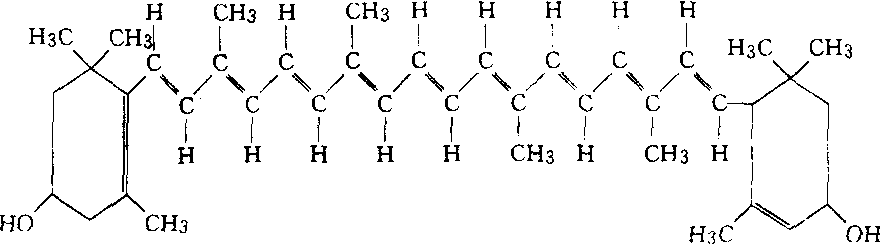
叶黄素xanthophyll

类胡萝卜素中一类含有两个羟基的四萜色素。胡萝卜素的含氧衍生物。化学分子式为C40H56O2,化学结构式如下页。有许多同分异构物,呈黄色。能溶于乙醇、丙酮、石油醚等有机溶剂在有机溶剂中的吸收峰为425 nm、445 nm和475 nm。植物体内的叶黄素存在于叶绿体片层结构和有色体中,也是蛋黄中黄色色素的主要成分。其功能见“类胡萝卜素”。

随便看

 

开放百科全书收录579518条英语、德语、日语等多语种百科知识,基本涵盖了大多数领域的百科知识,是一部内容自由、开放的电子版国际百科全书。

 

Copyright © 2000-2025 oenc.net All Rights Reserved
更新时间:2026/1/12 22:52:20