网站首页  百科知识

请输入您要查询的百科知识:

 

词条 反三角方程
类别 中文百科知识
释义

反三角方程fansanjiao fangcheng

含有未知数的反三角函数的方程.例如

(arccosx)2-6arccosx+8=0

等都是反三角方程.
解反三角方程,一般要通过三角函数运算,得到一个代数方程,然后解之.这种解法有可能增根,所以必须验根.

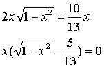
例 解方程


解 在原方程两边取正弦得


解之, 得


经检验 x=0是原方程的根


因为

所以 x2,x3都是增根.
随便看

 

开放百科全书收录579518条英语、德语、日语等多语种百科知识,基本涵盖了大多数领域的百科知识,是一部内容自由、开放的电子版国际百科全书。

 

Copyright © 2000-2025 oenc.net All Rights Reserved
更新时间:2026/1/12 17:19:19