网站首页  百科知识

请输入您要查询的百科知识:

 

词条 双苯三唑醇
类别 中文百科知识
释义

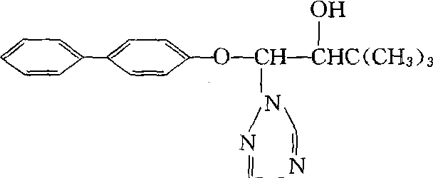
双苯三唑醇bitertanol

杂环类杀菌剂。化学名称:1-联苯氧基-3,3-二甲基-1-(1,2,4-三唑-1-基)丁醇-(2)。化学结构式如下。原药为无色晶体,熔点123~124℃,易溶于异丙醇、甲苯、二氯甲烷、环己酮,不溶于水和脂肪族碳氢化物,在酸性和碱性介质中较稳定,在pH3~10时贮存一年不分解。广谱性杀菌剂,主要抑制菌体细胞麦角甾醇的生物合成。从而干扰细胞膜结构,使菌体细胞变形、菌丝顶端膨大、分枝畸形、生长受抑制,在植物体上可从叶面渗透,进入植物体液输导的内吸性能。用于防治多种植物的锈病、白粉病、叶斑病、黑星病等具保护和治疗作用。对人畜低毒、大鼠急性口服LD50>5 000 mg/kg,急性经皮LD50>5 000 mg/kg,对眼粘膜有微刺激,对皮肤无刺激作用,对鱼类及水生生物毒性中等,对蜜蜂毒性很低。

随便看

 

开放百科全书收录579518条英语、德语、日语等多语种百科知识,基本涵盖了大多数领域的百科知识,是一部内容自由、开放的电子版国际百科全书。

 

Copyright © 2000-2025 oenc.net All Rights Reserved
更新时间:2026/1/12 16:00:19