网站首页  百科知识

请输入您要查询的百科知识:

 

词条 双氯苯嘧啶醇
类别 中文百科知识
释义

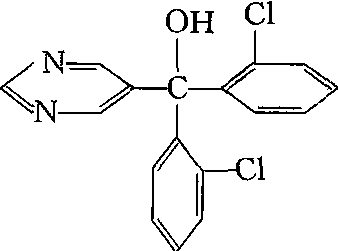
双氯苯嘧啶醇fenarimol

又称氯苯嘧啶醇、乐必耕。杂环类杀菌剂。化学名称:2,4′-二氯-α-(嘧啶-5-基)二苯基甲醇。化学结构式如下。原药白色结晶,25℃水中(pH7)溶解度为13.7mg/kg,微溶于己烷,溶于丙酮、乙腈、甲醇、氯仿等溶剂,在水溶液中或固体表面易为光分解而失效,常温下贮存二年。美国陶氏公司开发,内吸性杀菌剂。叶面喷洒用于防治果树、蔬菜锈病,白粉病,黑星病,尾孢菌叶斑病,炭疽病等。药剂可通过根部吸收后运送至地上各部位,叶面吸收后输运至叶尖,但不会运送到未喷药的邻叶。作用机制是使菌体细胞甾醇和麦角甾醇生物合成中C4和C14的去甲基化反应受到抑制,从而使C22及C23间的双键无法结合,影响细胞膜的形成。导致菌丝的发育受阻畸形。不影响孢子萌芽,对植物安全,但在低温干旱或生长不良的植物上会表现生长滞缓。对大鼠急性口服LD502 500 mg/kg,对兔经皮为2 000mg/kg,无致突变、无慢性毒性和致畸、致突变,三代繁殖未发现不良反应。环境毒性试验对野生动物毒性低。

随便看

 

开放百科全书收录579518条英语、德语、日语等多语种百科知识,基本涵盖了大多数领域的百科知识,是一部内容自由、开放的电子版国际百科全书。

 

Copyright © 2000-2025 oenc.net All Rights Reserved
更新时间:2026/5/18 17:40:52