网站首页  百科知识

请输入您要查询的百科知识:

 

词条 卵磷脂
类别 中文百科知识
释义

卵磷脂

简称“PC”。磷脂酰胆碱的异名,又称胆碱磷脂甘油酯。高等植物和动物的组织、脏器中的一种主要磷酸甘油酯,由其磷脂酸上的胆碱与磷酸基化合成酯。

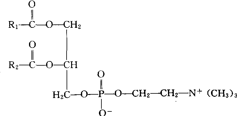
卵磷脂lecithin

又称磷脂酰胆碱。由甘油、脂肪酸(二分子)、磷酸和胆碱失水缩合而成的脂。结构式如下。分子中的脂肪酸链有饱和与不饱和两种,是非极性的疏水尾;磷酸胆碱部分为偶极离子,是极性的亲水头。无色蜡状物,易吸水,易氧化,溶于乙醚和乙醇而不溶于丙酮。是生物膜的主要成分之一。广泛存在于动、植物的各种组织、器官中,在大豆、脑和卵黄中含量尤多。在食品、化妆品、肥皂、橡胶及皮革工业中作乳化剂。

随便看

 

开放百科全书收录579518条英语、德语、日语等多语种百科知识,基本涵盖了大多数领域的百科知识,是一部内容自由、开放的电子版国际百科全书。

 

Copyright © 2000-2025 oenc.net All Rights Reserved
更新时间:2026/5/18 22:29:53