网站首页
百科知识
请输入您要查询的百科知识:
词条
卡丹公式
类别
中文百科知识
释义
卡丹公式kadan gongshi
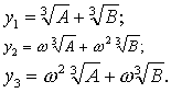
实系数一元三次方程
y
3
+py+q=0
的三个根是
式中
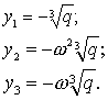
当p=0时,可得 A=0,B=-q或A=-q,B=0.此时方程为y
3
+q=0,它的三个根是
即-q的三个立方根.
上述公式是意大利数学家卡丹最早公布的,所以称为卡丹公式.
随便看
尼夫赫人
尼奇克苏沟
尼奇开别勒峰
尼奇开别勒阿舒山口
尼奇开登别勒山口
尼奇理氏
尼奎斯特,s.
尼奥普兰(neoplan)516shdh型豪华旅行客车
尼奥普兰(neoplan)公交客车
尼奥罗人
尼姆
尼姆鲁
尼姑
尼姑庵的春天
尼娜·丽茜
尼婆罗风俗
尼安德特人
尼安村
尼宫哈刹
尼尔森,a.
尼尔森,e.h.
尼尔雌醇
尼尼微
尼山
尼山书院
开放百科全书收录579518条英语、德语、日语等多语种百科知识,基本涵盖了大多数领域的百科知识,是一部内容自由、开放的电子版国际百科全书。
Copyright © 2000-2025 oenc.net All Rights Reserved
更新时间:2026/4/3 4:48:39