单糖dantang不能水解为更简单碳水化合物的多羟基醛或多羟基酮。多羟基醛称醛糖,多羟基酮称酮糖。按碳原子数不同可分为丁糖、戊糖、己糖、庚糖等。单糖多以来源命名,如葡萄糖、果糖、木糖等。 单糖具有醛或酮的通性,也具有醇的通性。单糖分子中的羰基可以与HCN发生加成反应,分子中的羟基可以发生酯化反应。单糖具有还原性,无论醛糖或酮糖,均可发生银镜反应 (见“银镜反应”),可与菲林试剂反应形成氧化亚铜红色沉淀 (见“醛与氢氧化铜的反应”)。单糖属于还原糖。醛糖可被溴水或次溴酸钠氧化为糖酸,而酮糖在同样条件下不被氧化,可用于鉴别醛糖与酮糖。 单糖都是有甜味的无色晶体,易溶于水。单糖分子在晶体中以环状半缩醛或环状半缩酮存在,在溶液中存在环状结构与开链结构的互变平衡。如,在D-葡萄糖水溶液中,存在两种环状半缩醛结构,互为旋光异构体,称为异头物,在两种异头物和开链式异构体的互变平衡体系中,各种异构体有一定的比例。无论把 〔α〕 D=+112°的α-D-葡萄糖晶体,还是〔α〕D=+18.7°的β-D-葡萄糖晶体溶解在水中,溶液的旋光度都会不断变化,直至3种异构体达成动态平衡,比旋光度不再变化,〔α〕 D=+52.7° (参见“葡萄糖”)。 每种单糖开链式结构有D-型与L-型两种对映体(参见“构型”) ,天然存在的单糖多为D-型。单糖的开链式结构用投影式表示,如D-葡萄糖,表示为:

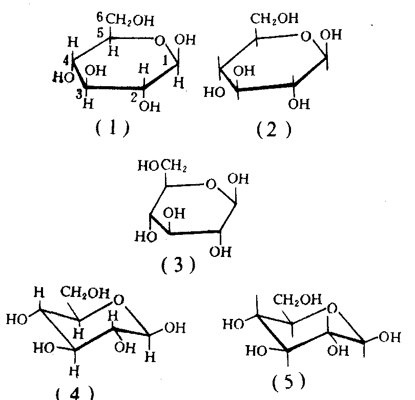
右式为省略式,与左式意义相同,这种省略方法只能适用于碳水化合物。单糖的环状结构常用哈武斯式表示,即用平面六边形表示,以β-D-葡萄糖为例(见图(1)),可省略为(见图(2))或(见图(3)),另一种表示方法为构象式(见图(4)),可省略为(见图(5))。 
单糖dantang指只含1个多羟基酮或醛单位的、最简单的糖,不能再被水解为更小的糖单位。根据羰基的特点,可将单糖分为醛糖和酮糖两类。又根据其所含碳原子的数目分别叫做丙醛糖、丙酮糖(含3个碳)、戊醛糖(含5个碳)、己醛糖、己酮糖(含6个碳)等。除二

羟基丙酮(丙酮糖)外,所有单糖分子都含有手征性碳原子,即连接着4个不同的原子或原子团的碳原子。因此单糖都有光学活性异构体。丙醛糖有1个手征性碳原子,因而有2种立体异构体。己醛糖有4个手征性碳原子,因而有24=16种立体异构体。由D-甘油醛(丙醛糖)衍生的丁糖、戊糖、己糖等均为D构型,它们的离羰基最远的手征性碳原子均属于D型,即在投影式中连在这个碳原子上的羟基在右侧。自然界中所发现的单糖大多为D型。其中最重要的是葡萄糖、半乳糖和果糖。含有5个或更多碳原子的单糖在溶液中主要以环式结构存在,其中的羰基与链上一个羟基形成共价键。这个反应很象醇和醛(或酮)生成半缩醛(或半缩酮)的反应,只是产物为分子内半缩醛(或半缩酮)。在反应中,单糖的羰基碳又转变成手征性碳原子,因此可产生α和β两种新异构体。环状结构有六员环(吡喃)和五员环(呋喃)两种形式。习惯用哈武斯(Haworth)透 
图528 D-葡萄糖和D-果糖的环式结构 视式表示。在这种表示方法中,吡喃环的6个原子和呋喃环的5个原子部处在同 一平面上,在环的靠近读者一边还描上粗线。单糖易溶于水而不溶于非极性溶剂。多数有甜味。果糖比葡萄糖甜,可用酶使葡萄糖浆转变为二者的混合糖浆,用作糖果的甜味剂。单糖有还原性。可用糖溶液还原某种氧化剂的量来计算糖的浓度。糖尿病人血糖浓度高,并出现尿糖,就可用这种测糖的文法协助诊断。 单糖最简单的糖。仅含一个醛基或酮基的多羟基醇。多羟基醛称为醛糖,多羟基酮称为酮糖。葡萄糖是一种己醛糖,果糖则是一种己酮糖。 单糖monosaccharide不能水解的最简单糖类。是含多羟基的醛类或多羟基的酮类化合物。按功能基分为醛糖和酮糖;按碳原子数目分为丙糖、丁糖、戊糖、己糖和庚糖等;按构型分为D型糖和L型糖。如D-甘油醛为丙醛糖,D-赤藓糖属丁醛糖,D-核糖和L-阿拉伯糖属戊醛糖,D-葡萄糖属己醛糖,D-果糖属己酮糖,景天庚酮糖是一种D构型的庚酮糖。具旋光性、水溶性和还原性。以游离状态、结合状态或衍生物的形式存在于生物体内。是寡糖和多糖的组成单位。在体内可转变为糖醇、糖酸、糖醛酸、糖胺和单糖的磷酸酯等衍生物。 |