网站首页  百科知识

请输入您要查询的百科知识:

 

词条 单宁胶粘剂
类别 中文百科知识
释义

单宁胶粘剂tannin adhesive

植物单宁与甲醛(或乙醛)在催化剂(酸或碱及少量金属离子)作用下,通过亚甲基桥与多聚黄酮类化合物分子中A环的反应位置键合,生成一种不溶性聚合物,聚合物与增强剂(苯酚、间苯二酚、酚醛或脲醛等)共聚,再加入填充剂(木粉、可可粉等),即可制成热固性或冷固性单宁胶粘剂。它可以部分代替酚醛胶或苯酚一间苯二酚胶,用于室外级胶合板、刨花板、层积木和指接木的生产。
简史 1918年姆克科伊(J.P.McCoy)提出单宁可作为酚醛缩合的一种成分的见解。1932~1942年摩根(G.J.Morgan)、菲利浦斯(R.Philips)等先后用单宁研制过各种模塑材料。1950年达尔顿(L. K.Dalton)用亚硫酸盐处理黑荆树单宁、桉树皮单宁,以降低粘度,制成的树脂优于脲醛树脂。1957年普洛姆里伊(K.F.Plomley)和希利斯(W.R.Hillis)等人用黑荆树单宁和红树皮单宁制成室外级胶合板用的胶粘剂。1961年安德森(A.B.Anderson)等人研制成刨花板用松树皮单宁胶粘剂。1971年南非联邦的博克瑟斯与舒克斯股份有限公司(Boxes & Shooks ltd.)取得黑荆树单宁胶的专利权,并开始用于刨花板生产。1975年以来,赛阿伊门(H.M.Saayman)、皮兹(A.Pizzi)等先后对单宁胶的质量问题进行研究,提出不少改进方案,使单宁胶推广应用取得很大成效。
中国在1949年以前,徐僖等人曾利用五倍子单宁制成热塑材料。1976年湖南一家木材厂曾试用红根栲胶作脲醛树脂填充剂、酚醛树脂促固剂和湿法纤维板的施胶剂。1977年张英伯等研制落叶松单宁胶并进行刨花板生产应用试验,取得良好结果。
20世纪70~80年代,单宁胶特别是黑荆树单宁胶代替酚醛胶已取得很大成就,南非联邦生产船用胶合板、室外级刨花板、瓦楞纸板、指接木等已全部使用黑荆树单宁胶。澳大利亚、新西兰、芬兰、巴西、印度、马来西亚等也大量使用单宁胶作木工胶粘剂。
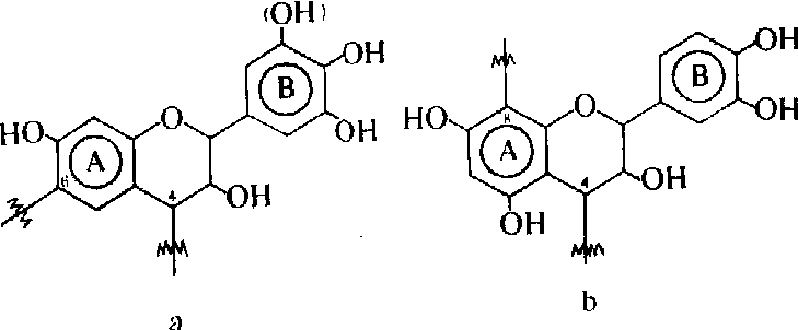
性质 单宁胶以含缩合类单宁的栲胶为主要原料。缩合类单宁从化学结构上分间苯二酚型(如黑荆树单宁、㭴木单宁)和间苯三酚型(如落叶松单宁)单宁(见图)。缩合类单宁由黄酮体化合物聚缩而成。黄酮体化合物包括黄烷-3-醇、黄烷-3,4-二醇和羟基芪。在两个芳香核之间以碳直链相连。黄烷醇分子直链有三个碳(C6·C3·C6型)。羟基芪的直链有两个碳(C6·C2·C6型)。黑荆树单宁中主要的黄酮体化合物是(—)-菲瑟亭醇和(—)-刺槐亭醇,黑荆树单宁由这类化合物聚缩而成聚合度不同的单宁,其分子量在600以上,平均分子量为1250。

两种不同类型的单宁图
a.黑荆树单宁:A环有间苯二酚,B环有邻苯二酚或邻苯三酚,反应活性基在4,6位上;b.松树皮单宁:A环有间苯三酚,B环有邻苯二酚,反应活性基在4,8位上


单宁与甲醛作用时,通过亚甲基桥(—CH2—)与A环的反应活性基(4,6位或4,8位)键合生成聚合物,由不溶直至不熔,这是制胶的基本原理。
单宁胶的理化性质包括以下内容:
粘度 随栲胶含固量、栲胶中高分子的树胶量、胶的温度、pH值等变化而改变。单宁胶主要缺点是粘度高,影响施胶。可通过化学处理,降低胶的含固量或添加粘度低的树脂加以改进。
胶凝时间 不同单宁在不同pH值条件下反应活性差别较大。35%浓度的黑荆树、红树和辐射松单宁,pH值6时的胶凝时间分别为56、13和3分钟,说明单宁的反应速度辐射松>红树>黑荆树。
甲醛用量 单宁所需的甲醛量很少。黑荆树单宁需3~4%(作刨花板胶粘剂需6~8%),红树单宁需4%,辐射松单宁需6%的甲醛作交联剂。
从性质上讲,单宁胶应与合成树脂性质相同。如粘度适中,生活力长,有足够的陈化时间,胶合质量达到合成树脂的标准等。
配方应用 单宁胶可分热固(100℃以上固定)和冷固(20~30℃固定)两类。
热固胶配方 热固又分室内和室外两级。单宁代替苯酚制成的胶,主要用来制造室外级刨花板、胶合板、层积板、瓦楞纸板。冷固胶用于指接木和工艺品(如乐器等)制件的粘接。
胶合板用单宁胶的配方 ❶室内级胶。黑荆树单宁(份重)100,水100, 氢氧化钠(1.15)、椰子壳粉(10~15)、多聚甲醛(10)。这种胶质量优于脲醛树脂,但成本较高。
❷室外级胶。配方如下:

单宁胶
单宁—酚醛—甲醛树脂
面粉(200目)
木粉(200目)

甲醛(37%)
胶合条件
单板(松木)
100份(其中单宁50%)
20份
5份
25份
2.5份
单板含水
施胶量
加压温度
压力
加压时间
胶合板性质
6~8%
200克/立方米
120℃
9.87×105帕
1分/毫米厚度
木材破坏率(干)
湿强度(12小时煮沸)
90~100%
59.22×105~69.09
×105帕(60~70
千克/平方厘米)
木材破坏率(湿)40~70%


商品化的用于室外级的黑荆树单宁胶,已有很大改进,单宁代替苯酚量已达90%左右,胶的质量符合要求。配方如下:

改性黑荆树栲胶
脲醛加强剂
多聚甲醛

消泡剂
防霉剂
椰子壳粉
胶的粘度
pH
生活力
36.4 (份重)
6.78
4.10
41.22
0.15
0.40
6.75
0.23帕秒
4.8~5.1(使用时)
5小时


刨花板用单宁胶(室外级)的配方 室外级胶配方如下:

黑荆树栲胶

氢氧化钠
增强树脂
多聚甲醛
胶的粘度(25℃)
胶压条件
95.0(份重)
138.0
1.6
5.0(烘干重)
15.0
0.015~0.02帕秒
温度
压力
树脂固体(表层)
(芯层)
板的质量
160℃
13.82×105帕
14%
10%
容重
质量
700千克/立方厘米
加压浸泡厚度增加<
12%,符合ASO
115—1968要求


冷固胶配方 以单宁为原料制成具有高度活性的、交联度高的冷固化胶粘剂是80年代才发展起来的。1978年皮兹(A.Pizzi)推荐一种快速冷固单宁胶。先取90份含固66.7%的黑荆树栲胶,9.6份38%甲醛,30份甲醇和0.3份消泡剂,在室温下混合。于76℃下加热回流10~15分钟,在pH4.5时,保持回流120分钟,然后加30份99%的间苯二酚和30份水,将温度降到62℃,再加2.4份25%氢氧化钠溶液,混合物再回流60分钟,蒸出过量的甲醇,冷却、贮存。
使用时,上述树脂加16份96~97%粉状多聚甲醛,7份椰子壳粉(200目),7份木粉(200目),1份工业渗润剂,加适量水使粘度达到0.26~0.30帕秒。
用上述冷固单宁胶胶接木片,胶的干燥剪切强度为5508.9千帕(799磅/平方英寸),木材破坏率100%。达到商用苯酚一间苯二酚一甲醛冷固胶的标准。
标准 单宁胶应符合酚醛胶(室外级)和脲醛胶(室内级)标准。用作胶合板标准可分A级(相当于72小时煮沸)、B级(6小时煮沸)、C级(抗热水)和D级(抗冷水)。
趋势 缩合类单宁(特别是黑荆树单宁)能代替苯酚制成胶粘剂。胶的优点是:固化时间短、涂胶性能好、热压时间短、耐水性良好;胶的毒性小、无腐蚀作用;制造容易、成本低。这种胶已取得巨大成功,其使用价值和经济效果已受到世界各国木材加工业的关注和重视。
由于世界性的石油产品成本增高,苯酚价格昂贵,而人造板用胶粘剂的量有增无减,因而促使人们从再生资源开发质优价廉的制胶材料(如单宁)。利用再生资源生产胶粘剂,对于石油资源缺乏、石化产品短缺而又需发展木材加工业的发展中国家有着重要意义。在开发利用中,对生长快、含量高、性能好、成本低的黑荆树单宁应予高度重视。
中国需要大力发展人造板工业,与之相应的胶粘剂也要加快发展。因此,今后利用国内自然条件和加工能力,通过大力发展黑荆树,每年提供大量黑荆树单宁用来制胶,对人造板工业的发展将起到重要的保证作用。
随便看

 

开放百科全书收录579518条英语、德语、日语等多语种百科知识,基本涵盖了大多数领域的百科知识,是一部内容自由、开放的电子版国际百科全书。

 

Copyright © 2000-2025 oenc.net All Rights Reserved
更新时间:2026/5/18 18:56:21